Save 35% ($551) & Get a Free 1-1 Call with our Team ⏰ : 0d 2h 59m 44s
When corrections come around, shopping time starts. Besides that, when the market experiences corrections, fear can take over. That fear often pushes prices lower because investors begin to sell. We believe this can be seen as an opportunity.

While most market participants are focusing on their recent PnL activity (mainly L) and forgetting about fundamentals, a smart investor can enter at low prices.
We are currently investing in a new project that should help propel the crypto industry and DeFi even further. This is not a short-term bet, it is one we will be involved in for several years.
On the other hand, a project offering additional layers to improve upon what Ethereum offers, is a project that peaks our interest. This project does exactly that.
The Mina Protocol focuses on the fact that it is a light blockchain. The network leverages the power of Zero Knowledge Proofs (ZK Proofs). In fact, decentralised applications including DeFi Apps can be built on top of it. These are called Snapps.
The economic model comes in the form of staking tokens to earn revenue which locks up supply. As well, there is no supply cap with yearly inflation.

This is a monumental amount of information because not many people have 7TB or more in storage capacity. Additionally, the storage capacity equirement will only increase as more transactions and contracts are executed and added to the ledger. This can harm decentralisation and place the security of the ledger in the hands of the few. As a result, handling peer-to-peer transactions becomes unfeasible for the average user.
To put this into perspective, let's use an analogy. The process is similar to having to check how every single dollar in our possession has previously been spent before you spend an new one. Granted, with the rate that the US Government has been printing dollars, it’s likely you won’t have to go back very far. But, that’s a topic for another day.
It is the world’s first succinct Layer 1 blockchain with application support. What does this mean? A succinct blockchain allows transaction verification to be independent of the chain length. In fact, Mina does this by utilising consistently sized cryptographic proofs, called zk-SNARKs.
Here is a simple analogy to describe how verification works. We leave the office and lock the door on the way out. When we come back, someone is standing in our office. Even so, all of the windows and doors are intact. The only logical conclusion we can take from this is that the person now standing in our office had a key to get inside the locked room. We don’t know the exact details of how they got that key, only that they are now inside the office.
The take away from this is that although we can’t prove how they got in, we know that there is only one way they could have entered without forcing their way in. Therefore, beyond any reasonable doubt, we can assume that they used a key to open to door. The preceding events are not important, only the outcome.
Take the following example:

This image represents how data is stored in the Mina protocol. The memory required to store each image individually is almost identical. Still, this image contains the same amount of information as the four individual files that make up its snapshot. For every new block, a new zero-knowledge proof is created. Its job is to prove that all balances are correct and that any transactions prior to the proof are accurate.
Notably, Mina utilises a version of the Proof-of-Stake (PoS) mechanism called Ouroboros Samasika. This differs from conventional PoS. Instead, the Mina version is adapted in order to operate within the context of a succinct blockchain.

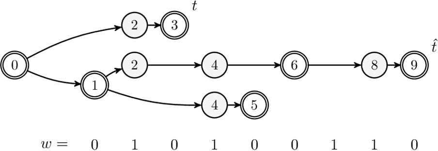
The longest chain from the Genesis Block is generally taken as the most accurate but there are exceptions. Honest block creators seek to add to this chain while also preventing inaccurate forks from taking over. In the figure above, the honest block producers are represented by the double-lined circles. They always have the final say. They can invalidate malicious forks and validate accurate blocks which will ensure continuity of the ledger.
Other differences that improve decentralisation include:
Snapps play an important role in this. Also called Snarkified Applications, they are similar to the applications built on Ethereum such as Uniswap. Yes, Snapps differ from the DApps of Ethereum in that they leverage the inherent privacy of zero-knowledge proofs.
This is what allows verification of pretty much anything without having to disclose details about it. The only requirement is that the details be valid. Obviously, the verified information must be produced at some point. However, this can be done on-chain. The SNARK is therefore produced as a way of proving the information is accurate and valid.
Evidently, the MINA token is the blockchain’s native asset. A key element to explore is token allocations. This is because a majorly team-owned token can be problematic. However, we do not believe this to be the case with MINA.

The Mina protocol has been in development since 2018. Usually, this means money has been raised from multiple parties. These parties have likely tried to secure as much of the supply as possible. Indeed, this is the case with Mina and preferably, we would like to see Community allocation to be closer to 60%.
Essentially, the MINA token is used for two primary purposes:
The question than becomes: Which mechanism gives MINA a good economic model? The obvious answer: Staking.
Staking achieves two simultaneous goals: network security, and out-of-circulation supply. Through the process of staking, MINA token holders can take their tokens off the market. This reduces the supply and adds upside pressure on the price.
As we know, the Mina Protocol makes staking accessible. It allows anyone to validate transactions and earn their pro-rata share of the inflation. This low barrier to entry encourages token holders to stake. On that same note, the Mina Foundation is offering what they call supercharged rewards for unlocked token holders. This will be done over the first 15-months to further encourage staking early on.
For example, the decentralised finance application Teller allows individuals to upload their real credit score privately onto the blockchain. They can then take on uncollateralised loans, which is rather interesting since most lending on DeFi tends to be over-collateralised.
The market is in fear, meaning investors in MINA want to realise their profit by selling. For one thing, the listing price is unknown. This fear may be accentuated if price starts high because most of retail has been given a wake up call by this correction.
You may be asking yourself: Cryptonary, CoinMarketCap is showing that MINA is already priced at ~$50 with a $187 all-time high. How is that possible and what sort of upside does that leave?
This is a fair question and here is the answer. We believe what CoinMarketCap failed to show is that the price is based on one single exchange called BitZ which is trading an IOU. An IOU stands for “I owe you”, meaning the exchange is selling its users contracts at high prices. Additionally, once MINA tokens become publicly available, they will be redeemable for much lower prices and allow them to pocket the change. We saw this with Flamingo Finance (FLM) where the IOU was trading near $20. It was then listed sub-$1 after it became publicly available. This is a cheap move that only scam exchanges make.
Currently, only CoinList and Kraken have expressed that they will list MINA. Even though we have accounts on both, we are in no rush to buy. We will be waiting to see if other exchanges share the listing. FTX or Binance will be our venues of choice by order of preference. If they don’t list, we intent to focus on what’s available.
From these assumptions, we can project a price for MINA. While not all the supply will be unlocked by 2025, we take the conservative route of assuming this will be the case. The total supply is projected to be around 1.3 Billion MINA tokens. This amount factors in inflation for 2025 and gives us the following price targets (rounded down):
This move will allow us to dedicate 7% of our portfolio to MINA.
Create your free account or log in to read the full article.















